By clicking “Accept All Cookies”, you agree to the storing of cookies on your device to enhance site navigation, analyze site usage, and assist in our marketing efforts. View our Privacy Policy for more information.
Back
Publication
·

Quantitative analysis of vectorial torques in a thin Co 3d ferromagnet using orbital-spin conversion

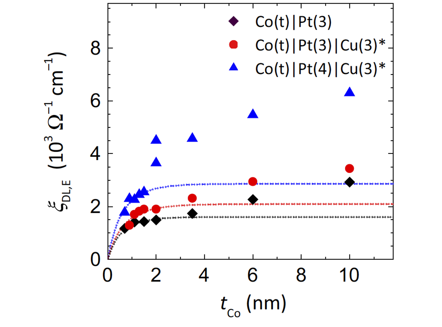
Recent studies in orbitronics have found large current-induced torques originating—in the current

understanding—from incident orbital currents. These can be generated by the orbital Rashba-Edelstein

effect (OREE) produced at the interface between some light metals and their oxide films, e.g., by a

naturally oxidized copper layer (Cu∗). In the present work, using second-harmonic Hall techniques, we

determine the ratio of orbital vs spin currents exerting torques on thin transition-metal Co ferromagnets

in systems using an orbit-to-spin Pt converter as an interlayer with Cu∗. Our results quantifying dampinglike

torques show that both orbital and spin contributions are enhanced in these systems. Moreover, the

experimental determination of the decoherence length in a sample series with varying Co thickness clearly

demonstrates the interfacial generation of the orbital currents in Cu∗ by the OREE, leading to subsequent

magnetic torque in Co over a typical length scale of several nanometers.

Read the full text

Contact us

Feel free to contact us any time.
We will get back to you as soon as we can !

Thank you ! Your message has been received !
Oops ! Something went wrong while submitting your message...